尊龙凯时机器(杭州)有限公司 版权所有
电话:0571-87177656
邮 箱:xzidea@126.com
地址:杭州市钱塘区文渊北路246号
网站版权注 仿冒必究!
在弹性体污水提升泵选型过程中,应用工程师经常会遇到出口管道长度、管道直径已知,而用户本身不知道需要多大的压力可以满足需要的情况,为此,科学计算管道损失非常必要。
1、牛顿流体管路能量损失计算
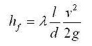
1)对牛顿流体水头损失,沿程水头损失采用达西公式计算:

公式中,λ为摩擦系数,可通过下图查得,L为管道长度(m),D为管道直径(m);v为管道内有效截面上平均流速(m/s)。

2)对于给定的流量,管径的大小与管道系统的一次投资(材料和安装)、操作费(动力消耗和维修)和折旧费等项有密切关系,根据这些费用做出经济比较,以选择适当的管径,此外还应考虑安全流速及其他条件的限制。
当按预定介质流速来确定管径时,可采用下式初选管径:

公式中,D为管道直径(m);q为管内介质的质量流量(kg/h);ρ为介质在工作条件下的密度(kg/m³);v为管道内有效截面上平均流速(m/s)。
2、非牛顿流体管路损失计算测试
1)非牛顿流体特点
水、空气和润滑油等是化学结构比较简单的低分子流量,其运动遵循牛顿内摩擦定律,即剪切应力应用τ与流速梯度成线性关系,如下式所示:

这一类流体成为牛顿流体。式中的μ是任意给定温度,压强条件下牛顿流体流动的特征性比例常数,此比例常数即所谓流体黏度(动力黏性系数)。